Measurement and Signal Processing
Print this page
First   |   Last   |   Prev   |   Next

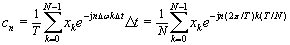
However, in the case of a discrete signal, the integral of equation (11.16) must be calculated by replacing and with and respectively. By such replacements, we have

                                                    (11.26)

We represent the right-hand side of this expression by , that is

                           (11.27)

 

and call this descrete Fourier transform of the discrete signal .

 
First   |   Last   |   Prev   |   Next