Measurement and Signal Processing
Print this page
First   |   Last   |   Prev   |   Next
and its continuous spectrum is obtained by equation (11.23) i.e. by the Fourier transformation

                                                                  (11.24)

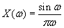
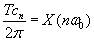
Now, let us compare the spectrum of a square wave of period T as shown in Figure 11.22 and that of a square pulse shown in Figure 11.24. From equation (11.19) and (11.24) that the Fourier coefficients in Figure 4 have the following relationship to

                                                                 (11.25)

where is the fundamental frequency. Therefore, the envelope of the quantities obtained by multiplying to the line spectra of the Fourier coefficients of the square wave gives the continuous spectra of the Fourier transform of the square pulse. As shown in Figure 11.25, multiplying the spectrum for the square wave with period T = 8 in Figure 11.24 gives the spectrum for the square pulse in Figure 11.25.

First   |   Last   |   Prev   |   Next