Next
Previous

Kinetics

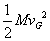
The second integral vanishes. First integral can be written as , where M is the total mass of the body.

Thus, the kinetic energy is given by,

KE =

Let us obtain the alternate expression for the second integral: