Next
Previous

Kinetics

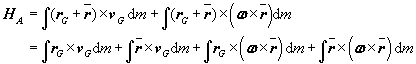
As the first moment of the mass about the center of gravity is zero, the second and third terms will be zero.

Hence,