Previous

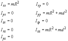
Notice that there are two non-zero components in this case.

The kinetic energy can be calculated like in previous example.

Kinetics

This problem is similar to previous problem. However, instead of a concentrated mass, a ring has been put at the tip. For this,

The angular momentum is given by,