Next
Previous

Kinetics

Solution:

For this problem, angular velocity components are:

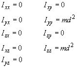
Components of inertia tensor are: