Previous
Next

Plane Kinematics of rigid bodies

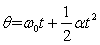
Integrating the above equation with respect to time,        

where C2 is constant of integration
        
          At t=0 , , giving C2=0
Thus,      

      ------------------------------------------------(2)

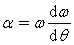
Also  

Hence,
       
Taking integral on both the sides,