Previous
Next

Plane Kinematics of rigid bodies

The rate of change of angular velocity with time is called angular accelerationand is denoted by a
  
Also
     

When the particle moved from A to B, the distance travelled by it is S. If r is the distance of the particle from the center of rotation then
      
     v =
     
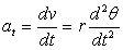
Radial acceleration

If the angular velocity is given in terms of revolution per minute (rpm). It can be converted into radian per second. Since there are 2p radian in one revolution and 60 seconds in one minute, the angular velocity is given by