Previous
Next

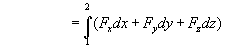
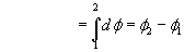
(PE2 - PE1) =

It is followed that,

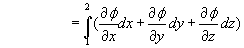
P.E.= -

Thus , the conservative force field is expressible in the form of negative gradient of potential energy.

 

Principle of total minimum Potential Energy

The change of potential energy PE of a particle between position 1 and 2 equals the negative of the work done by the conservative force as the particle moves from position 1 to 2,