Next

A differential amount of real work is defined as the dot product of real force and differential displacement. Real forces are the forces that a given structure will actually experience during its service life.

The work done by any force F acting on the particle during the virtual displacement is called virtual work and is

where is the angle between F and and is the magnitude of . The difference between dr and is that dr refer to an actual infinitesimal change in position and can be integrated, whereas refer to an infinitesimal virtual or assumed movement and can not be integrated.

Previous

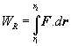
Virtual Work Method

The above figure shows the path of the particle on which F does work. The total work in moving from 1 to 2 is given by,