Next
Previous

Gyroscopic Motion - I

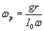
The direction of Ty is along , so it is consistant with the applied torque.

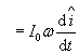
We have already discussed that applied torque is

.

Thus,

Giving us,