Next
Previous

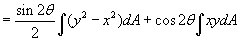
The product of inertia about the inclined axes is

Second Moments and Products of Area in the rotated Coordinate System

which gives,