Next

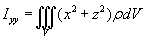
dV is the volume of a infinitesimal volume element.

 

Previous

Moments and Product of Inertia

Consider the body of density shown below :