Previous
Next
Application of Friction

(Noting that for small

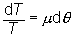
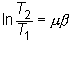
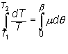
From Eq. (A) and (B), we get

Integrating from 0 to leads

or