Module 22: Multi-core Computing Security
  Lecture 44: Cryptography and ECB
 


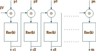
CBC Mode of Encryption

CBC Mode of Decryption

  • The receiver and sender must know key, and IV.
    • Or key, and the method to compute IV.