Module 16: Data Flow Analysis in Presence of Procedure Calls
  Lecture 31: Data Dependence Analysis
 
We can relate in, out and transfer as follows
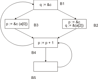
Consider following control flow graph

Suppose a is an array, c is and integer, and p and q are pointer.
Initially

Out
In
out
In
out
in
in
out
  ={(P,a),(q,a),(q,c)
in
out