Module 15: Reaching Definition
  Lecture 29: Reaching Definition
 


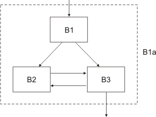
Improper Region

Bottom up equation:
Top down equations:


solve for in(B2) and in(B3) in function lattice