| |
Analysis of Structured Programs
 |
gen(S) = {d}
kill(S) = Da − {d}
out(S) = gen(S) S in(S) − kill(S) |
|
gen(S) = gen(S2) S gen(S1) − kill(S2)
kill(S) = kill(S2) S kill(S1) − gen(S2)
in(S1) = in(S)
in(S2) = out(S1)
out(S) = out(S2) |
|
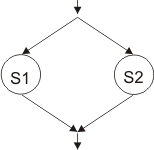
gen(S) = gen(S1) S gen(S2)
kill(S) = kill(S1) T kill(S2)
out(S) = out(S1) S out(S2) |
|