Pushdown Automata (PDA)
Print this page
First | Last | Prev | Next
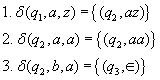
Example 1 : Here is a PDA that accepts the language .





, and consists of the following transitions


 
First | Last | Prev | Next