Minimization of Deterministic Finite Automata (DFA)
Print this page
First   |   Last   |   Prev   |   Next
For any regular language L it may be possible to design different DFAs to accept L. Given two DFAs accepting the same language L, it is now natural to ask - which one is more simple? In this case, obviously, the one with less number of states would be simpler than the other. So, given a DFA accepting a language, we might wonder whether the DFA could further be simplified i.e. can we reduce the number of states accepting the same language ?

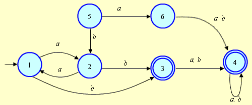
Consider the follwoing DFA ,

Figure 1

First   |   Last   |   Prev   |   Next