Removing Transition
Print this page
First   |   Last   |   Prev   |   Next

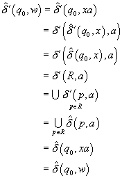
By definition of extension of

By inductions hypothesis.

Assuming that

By definition of

Since

To complete the proof we consider the case

When i.e. then

First   |   Last   |   Prev   |   Next