Removing Transition
Print this page
First   |   Last   |   Prev   |   Next
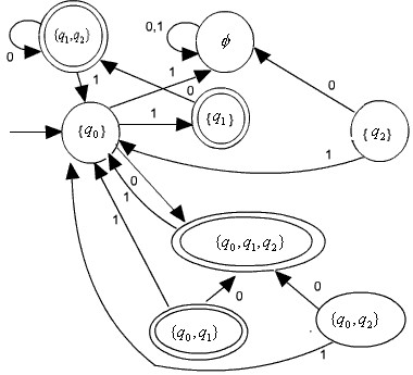
Crresponding transition fig. for the DFA is shown as            
First   |   Last   |   Prev   |   Next