Binary Tree :
Print this page

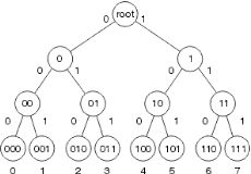
A tree is a finite set of nodes having a distinct node called root.
Binary Tree is a tree which is either empty or has at most two subtrees, each of the subtrees also being a binary tree. It means each node in a binary tree can have 0, 1 or 2 subtrees. A left or right subtree can be empty.

A binary tree is made of nodes, where each node contains a "left" pointer, a "right" pointer, and a data element. The "root" pointer points to the topmost node in the tree. The left and right pointers point to smaller "subtrees" on either side. A null pointer represents a binary tree with no elements -- the empty tree. The formal recursive definition is: a binary tree is either empty (represented by a null pointer), or is made of a single node, where the left and right pointers (recursive definition ahead) each point to a binary tree.

The figure shown below is a binary tree.

 
 
  Start