Graphs II: Basic Algorithms :

Print this page
 
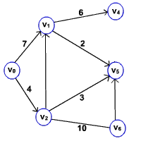
  • The following sequence of figures shows the way of finding the shortest path from source vertex v0.
 
     
       
         
Prev