Graphs II: Basic Algorithms :

Print this page
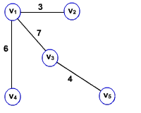
  •   The best way of connecting them is shown in the following figure.
 
 
Figure 2
 
     
  •    The cost of the laying the above pipe line connecting these oil wells is 20. Any other way of connecting                   increases the cost.
  •    Resultant graph is a tree which spannes all vertices of the graph. Hence called spanning tree.
  •    The spanning tree with minimum cost is called Minimum Spanning tree (MST).
               
Prev