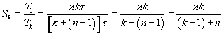
A total of k cycles are required to complete the execution of the first instruction, and the remaining (n-1) instructions require (n-1) cycles.
The time required to execute n instructions without pipeline is

because to execute one instruction it will take
cycle.
The speed up factor for the instruction pipeline compared to execution without the pipeline is defined as: